Funciones exponenciales y logarítmicas YouTube

Funciones exponenciales y logarítmicas YouTube

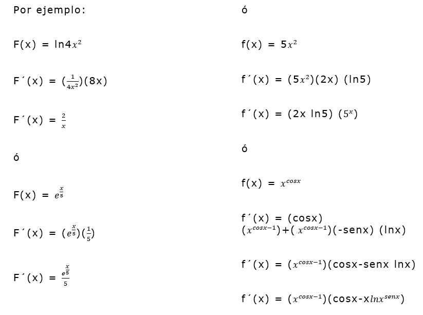
La derivación logarítmica es una técnica de derivación que nos permite hallar la derivada de una función aplicando las propiedades de los logaritmos. Aunque se puede utilizar para resolver muchos tipos de derivadas, es especialmente útil para las funciones de tipo potencial-exponencial: f x = g x ϕ x. Como ves, f (x) es una función g (x.. Aquí encontrarás cómo resolver la derivada de una función logarítmica en cualquier base (fórmula). Además, podrás practicar con ejercicios resueltos paso a paso de derivadas de funciones logarítmicas. La fórmula para dividir una función logarítmica depende de si el logaritmo es natural (de base e) o de cualquier otra base.


Funciones exponenciales y logarítmicas YouTube

Integrales de funciones logarítmicas y exponenciales Derivadas


Las Derivadas de Funciones Logarítmicas y

Las Derivadas de Funciones Logarítmicas y exponenciales Cálculo Diferencial CiberTareas


Derivada de la función exponencial Ejemplo

Derivada de la función exponencial Ejemplo 2 YouTube


DERIVADAS DE FUNCIONES LOGARITMICAS YouTube

DERIVADAS DE FUNCIONES LOGARITMICAS YouTube


Derivadas de funciones logarítmicas y exponenciales.

Derivadas de funciones logarítmicas y exponenciales. Bachillerato. YouTube


Adictos al Cálculo Derivadas de funciones

Adictos al Cálculo Derivadas de funciones exponenciales y logarítmicas


Derivada de una función exponencial Qué

Derivada de una función exponencial Qué es, definición y concepto


Funciones exponenciales y logarítmicas YouTube

Funciones exponenciales y logarítmicas YouTube


DERIVADAS de FUNCIONES EXPONENCIALES y LOGARITMICAS

DERIVADAS de FUNCIONES EXPONENCIALES y LOGARITMICAS ejercicios resueltos 001 💣💥💡 RAPIDO Y FACIL


Integrales de funciones logarítmicas y exponenciales

Integrales de funciones logarítmicas y exponenciales Derivadas


» Derivada de polinomios y funciones

» Derivada de polinomios y funciones exponenciales Ejercicios Resueltos


Derivadas 2 Función Exponencial MCC YouTube

Derivadas 2 Función Exponencial MCC YouTube


Derivadas tipo logarítmicas YouTube

Derivadas tipo logarítmicas YouTube


Derivadas de funciones exponenciales y logarítmicas.

Derivadas de funciones exponenciales y logarítmicas. Fórmulas matematicas. Geometría, física


Derivada de funciones exponenciales y logarítmicas

Derivada de funciones exponenciales y logarítmicas YouTube


Integrales de funciones logarítmicas y exponenciales

Integrales de funciones logarítmicas y exponenciales Derivadas


Funciones exponenciales y logarítmicas YouTube

Funciones exponenciales y logarítmicas YouTube


5 funciones logaritmicas y exponenciales

5 funciones logaritmicas y exponenciales


DERIVADA DE LA FUNCIÓN LOGARÍTMICA YouTube

DERIVADA DE LA FUNCIÓN LOGARÍTMICA YouTube


Integrales de funciones logarítmicas y exponenciales

Integrales de funciones logarítmicas y exponenciales Derivadas

This page titled 3.9: Derivadas de funciones exponenciales y logarítmicas is shared under a CC BY-NC-SA 4.0 license and was authored, remixed, and/or curated by Edwin “Jed” Herman & Gilbert Strang via source content that was edited to the style and standards of the LibreTexts platform; a detailed edit history is available upon request.. Para comenzar, intentaremos adivinar C(a), algunos valores de a, enchufando algunos valores pequeños de h. Ejemplo 2.7.1 Estimaciones de C(a). Vamos a = 1 entonces C(1) = lim h → 0 1h − 1 h = 0. Esto no es sorprendente ya que 1x = 1 es constante, y así su derivada debe ser cero en todas partes.